• Log In
  • About Us
  • Help
  • Facebook Twitter LinkedIn
DecisionHealth logo
Home Health Line - Building a Profitable Home Health Agency
Advanced Search ►
  • Home
  • News & Analysis
    • Current Issue
    • Issue Archive
    • Benchmarks
    • Regulatory Compliance
    • Marketing Strategies
    • Recruitment & Retention
    • Tools
    • Fraud & Abuse
    • Hospice
    • OASIS-C
    • Quality Outcomes
    • Private Duty
    • Technology
  • Resources
    • Free Tools
    • Poll Results
    • FAQ
    • Helpful Links
    • Regulations & Guidelines
  • Community
    • Twitter
    • Facebook
    • Jobs
  • Training & Events
Home | 12/21/2015 Issue | Article

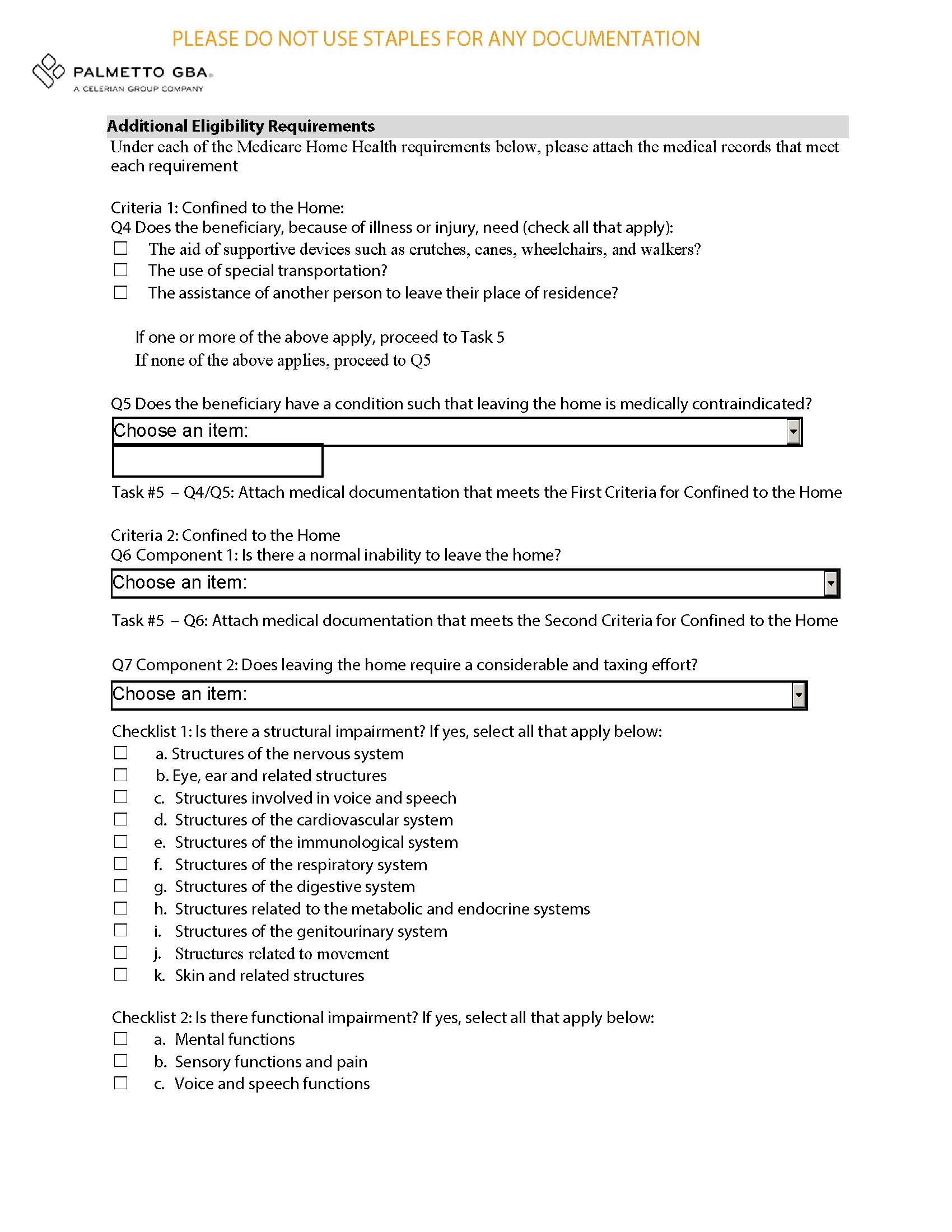
Pre-claim review submission form

by: Palmetto GBA
Effective Jul 13, 2016
Published Jul 20, 2016
Last Reviewed Jul 20, 2016
 
print

Login

User Name:
Password:
Forgot password
Choose an account
End User License Agreement
Online Subscription Agreement: END USER LICENSE AGREEMENT
IMPORTANT - READ CAREFULLY:

BY COMPLETING THE ELECTRONIC ACCEPTANCE PROCESS AND CLICKING THE ACCEPTANCE BUTTON, YOU REPRESENT AND WARRANT THAT YOU: (i) ARE 18 YEARS OF AGE OR OLDER; (ii) ARE, OR ARE AUTHORIZED TO SIGN FOR AND BIND,
THE CONTRACTING PARTY DEFINED BELOW AS "END USER"; AND (iii) HAVE READ, UNDERSTAND AND AGREE ON BEHALF OF END USER TO BE BOUND BY ALL OF THE TERMS AND CONDITIONS OF THIS ONLINE SUBSCRIPTION AGREEMENT.

The following subscription agreement terms and conditions, consisting of the provisions below and the terms of the Privacy Policy and Web Site Terms and Conditions, each of which may be viewed at www.homehealthline.com, govern your subscription to and use of the DecisionHealth, LLC’s Home Health Line Web Site, content and service (collectively, the “Service”). Any purchaser or user of any materials accessible via the Service is an End User for purposes of this Agreement.

The Agreement is a legal and binding instrument entered into as of the date of electronic acceptance by End User (the "Effective Date"), by and between DecisionHealth, LLC ("DecisionHealth"), and End User, the individual or entity entering into this Agreement. DecisionHealth reserves the right to amend this Agreement from time to time without notice to End User.

1. End User Rights and Restrictions.

a. Access to Service. The Service is a paid subscription service, and as such End User agrees that his/her access shall only be restricted to the term and level of subscription term for which DecisionHealth has received payment. During the Term of this Agreement, and upon End User's payment of all applicable Subscription Fees, DecisionHealth will enable End User to access and utilize the Service as contemplated herein, and End User may access and use the Service pursuant to and in accordance with the provisions of this Agreement.

b. Transfer of Content. End User shall be solely responsible for all content transferred by End User or any other party in connection with End User's access and/or use of the Service.

c. Prohibition on Reverse Engineering. End User may not reverse engineer, decompile or otherwise attempt to decipher any code in connection with the Service or any other aspect of DecisionHealth's technology. No End User may utilize any automated computer program or activity to search, index, test, download, or grab information from the Service (including but not limited to web robots, spiders, and crawlers). DecisionHealth reserves the right to block or otherwise prevent the unauthorized use of such programs or activities.

d. No Distribution. End User may not resell, distribute, or otherwise use the Service on a timeshare or service bureau basis. Neither the Service nor any content related to the Service may be copied, reproduced, framed, hyperlinked, republished, downloaded, uploaded, posted, transmitted or distributed in any way. You may not redistribute, reproduce, retransmit, disseminate, sell, publish, broadcast or circulate the information contained in the Service to any third party without the express written consent of DecisionHealth. It is strictly prohibited for any End User to download copies of the Service or any content related thereto for archival use. No other distribution of the Service or any content related thereto by any End User including, but not limited to, distribution via site licensing, on-line distribution, off-line downloading, tapes, discs, CD-ROM, optical media, hard copy formats, or print publication shall be permitted without the express written permission of an authorized officer of DecisionHealth. End User specifically agrees and understands that no rights of dissemination by any third party and no rights to sub-license to any third party are being granted to you under this Agreement. Except for the limited license specifically provided herein, this Agreement shall not transfer to you any right to, or interest in, the Service, or in any content included in the Service, or in any copyright or trademark pertaining thereto. You acknowledge that you have no claim to ownership of the Service or any content related thereto simply by reason of your use of or access to the Service.

e. No Other Rights. No other rights are granted hereunder except as expressly set forth in this Agreement.

2. Copyrights and Trademarks.

Except for the limited license rights granted in this Agreement, all right, title, and interest in and to the Service (including, but not limited to, any images, photographs, animations, video, audio, music, text, content. computer code or applets incorporated into the Service), any accompanying printed materials, and any copies of the Service are owned by DecisionHealth. All rights in and to the content that may be accessed through use of the Service is the property of the respective content owners and may be protected by applicable copyright or other intellectual property laws and treaties. This Agreement grants no rights to use such content. All rights not expressly granted are reserved by DecisionHealth and/or the owner(s) of the Service or other materials.

U.S. Government Rights. This product includes CPT which is commercial technical data and/or computer data bases and/or commercial computer software and/or commercial computer software documentation, as applicable, which was developed exclusively at private expense by the American Medical Association, 515 North State Street, Chicago, Illinois, 60654. U.S. Government rights to use, modify, reproduce, release, perform, display, and or disclose these technical data and/or computer data bases and/or computer software and/or computer software documentation are subject to the limited rights restrictions of DFARS 252.227-7015(b)(2) (November 1995) and/or subject to the restrictions of DFARS 227.7202-1(a) (June 1995), as applicable, for U.S. Department of Defense procurements and the limited rights restrictions of FAR 52.227-14 (June 1987) and/or subject to the restrictions rights provisions of FAR 52.227-14 (June 1987) and FAR 52.227-19 (June 1987), as applicable, and any applicable agency FAR Supplements, for non-Department of Defense Federal procurements.

3. Term and Termination.

a. Term. This Agreement shall commence on the Effective Date and continue for the subscription period.

b. Termination for Cause. DecisionHealth reserves the right to terminate this Agreement immediately if End User breaches any of its material obligations under this Agreement.

c. Effect of Termination. Upon termination of this Agreement, End User will immediately discontinue all access to and use of the Service. DecisionHealth shall not be liable for any damages resulting from a termination of this Agreement as provided for herein; provided, however, the termination of this Agreement shall not affect any claim arising prior to such termination.

4. DISCLAIMER OF WARRANTIES. CUSTOMER HEREBY ACKNOWLEDGES AND AGREES THAT THE SERVICE IS PROVIDED BY DECISIONHEALTH ON AN "AS IS" BASIS, AND CUSTOMER'S ACCESS TO AND/OR USE OF THE SERVICE IS AT ITS SOLE RISK. DECISIONHEALTH EXPRESSLY DISCLAIMS ALL WARRANTIES OF ANY KIND, WHETHER EXPRESS OR IMPLIED, INCLUDING, BUT NOT LIMITED TO, THOSE OF MERCHANTABILITY, SATISFACTORY QUALITY, TITLE, FITNESS FOR A PARTICULAR PURPOSE, AND NON-INFRINGEMENT. DECISIONHEALTH MAKES NO WARRANTY THAT THE SERVICE WILL MEET THE REQUIREMENTS OF CUSTOMER OR THAT THE SERVICE WILL BE UNINTERRUPTED, TIMELY OR ERROR-FREE, NOR DOES DECISIONHEALTH MAKE ANY WARRANTY AS TO THE RESULTS THAT MAY BE OBTAINED FROM THE USE OF THE SERVICE OR THE ACCURACY OF ANY OTHER INFORMATION OBTAINED THROUGH THE SERVICE OR THAT ANY DEFECTS WILL BE CORRECTED. CUSTOMER UNDERSTANDS AND AGREES THAT ANY MATERIAL AND/OR DATA DOWNLOADED OR OTHERWISE OBTAINED THROUGH THE USE OF THE SERVICE IS DONE AT THE SOLE RISK OF CUSTOMER AND THAT CUSTOMER WILL BE SOLELY RESPONSIBLE FOR ANY DAMAGE TO ITS COMPUTER SYSTEM OR LOSS OF DATA THAT RESULTS FROM THE DOWNLOAD OF SUCH MATERIAL AND/OR DATA. NO INFORMATION OR ADVICE, WHETHER ORAL OR WRITTEN, OBTAINED BY CUSTOMER FROM DECISIONHEALTH OR THROUGH THE SERVICE SHALL CREATE ANY WARRANTY NOT EXPRESSLY MADE HEREIN. SOME JURISDICTIONS DO NOT ALLOW THE EXCLUSION OF CERTAIN WARRANTIES, SO SOME OF THE ABOVE EXCLUSIONS MAY NOT APPLY TO CUSTOMER.
5. LIMITATION ON LIABILITY. TO THE MAXIMUM EXTENT PERMITTED BY APPLICABLE LAW, IN NO EVENT SHALL DECISIONHEALTH AND/OR ITS AFFILIATES BE LIABLE FOR ANY DIRECT, INDIRECT, PUNITIVE, INCIDENTAL, SPECIAL, CONSEQUENTIAL DAMAGES OR ANY DAMAGES WHATSOEVER INCLUDING, WITHOUT LIMITATION, DAMAGES FOR LOSS OF USE, DATA, OR PROFITS, ARISING OUT OF OR IN ANY WAY CONNECTED WITH THE USE OR PERFORMANCE OF THE HOME HEALTH LINE WEB SITE OR THE SEVICE, WITH THE DELAY OR INABILITY TO USE THE HOME HEALTH LINE WEB SITE OR RELATED SERVICES, THE PROVISION OF OR FAILURE TO PROVIDE SERVICES, OR FOR ANY INFORMATION, SOFTWARE, PRODUCTS, SERVICES AND RELATED GRAPHICS OBTAINED THROUGH THE HOME HEALTH LINE WEB SITE, OR OTHERWISE ARISING OUT OF THE USE OF THE HOME HEALTH LINE WEB SITE OR RELATED SERVICE, HOWEVER CAUSED AND BASED ON ANY THEORY OF LIABILITY, AND WHETHER OR NOT FOR BREACH OF CONTRACT, NEGLIGENCE, OR OTHERWISE, AND WHETHER OR NOT DECISIONHEALTH HAS BEEN ADVISED OF THE POSSIBILITY OF SUCH DAMAGES. DECISIONHEALTH'S LIABILITY HEREUNDER IS LIMITED TO ANY FEES PAID BY END USER TO DECISIONHEALTH DURING THE IMMEDIATELY PRECEDING 12 MONTH PERIOD. SOME JURISDICTIONS DO NOT ALLOW LIMITATION OR EXCLUSION OF LIABILITY FOR INCIDENTAL OR CONSEQUENTIAL DAMAGES, SO SOME OF THE ABOVE LIMITATIONS MAY NOT APPLY TO END USER.
6. Indemnification. End User hereby agrees, at its sole expense, to indemnify, defend and hold DecisionHealth harmless from and against any loss, cost, damages, liability or expense arising out of or relating to (i) a third-party claim, suit, proceeding, action or allegation of infringement based on information, data, files or other content submitted by End User or otherwise related to End User's access to and/or use of the Service; or (ii) any fraud or manipulation, or other breach of this Agreement by End User.

Change Password
Password must be 8–70 characters and include at least one uppercase letter, one lowercase letter, one number, and one special character.
Current Password
New Password
Confirm Password
Home Health Line
  • Current Issue
  • Issue Archive
  • Benchmarks
  • Regulatory Compliance
  • Marketing Strategies
  • Recruitment & Retention
  • Tools
  • Fraud & Abuse
  • Hospice
  • OASIS-C
  • Quality Outcomes
  • Private Duty
  • Technology
Resources
  • Regulations & Guidelines
  • DecisionHealth Store
  • Helpful Links
  • Events
Join our community!
Facebook
Like us on Facebook
Twitter
Follow us on Twitter
LinkedIn
Join us on LinkedIn
Contact the HHL Editors
Home Health Line
Home Health Coding Center
DecisionHealth
Copyright © 2026 DecisionHealth, an HCPro brand. All rights reserved. Privacy Policy. Terms & Conditions.